ErroresNumericos

  • Inicio de los errores de representación numérica:

    Durante la invención de las primeras calculadoras mecánicas, se empezaron a observar errores de representación numérica debido a las limitaciones de los mecanismos utilizados.
  • Error de redondeo

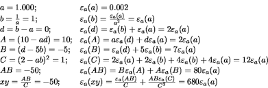
    Error de redondeo

    Con el surgimiento de las computadoras electrónicas, se hizo evidente el error de redondeo, que ocurre cuando se aproxima un número real a un número de menor precisión.
  • Error de truncamiento

    Error de truncamiento

    El error de truncamiento ocurre cuando se desechan los dígitos más significativos de un número durante una operación matemática.
  • Error de desbordamiento

    Error de desbordamiento

    El error de desbordamiento se produce cuando el resultado de una operación matemática supera la capacidad de representación del sistema numérico utilizado.
  • Error de cancelacion

    Error de cancelacion

    El error de cancelación ocurre cuando dos números cercanos se restan entre sí, lo que puede llevar a una pérdida significativa de dígitos significativos en el resultado.
  • Error de precision finita

    Error de precision finita

    La mayoría de las computadoras utilizan una precisión finita para representar números reales, lo que conlleva errores debido a la limitación en la cantidad de dígitos que se pueden representar.
  • Error de underflow

    Error de underflow

    El error de underflow ocurre cuando el resultado de una operación matemática es tan pequeño que se aproxima a cero y no puede ser representado con precisión en el sistema numérico utilizado.
  • Error overflow

    Error overflow

    El error de overflow se produce cuando el resultado de una operación matemática es tan grande que excede la capacidad de representación del sistema numérico utilizado.
  • Error flotante

    Error flotante

    El error de punto flotante es un tipo de error de representación numérica que se produce en sistemas que utilizan la representación de punto flotante para números reales.
  • Error de cancelacion catastrofica

    Error de cancelacion catastrofica

    La cancelación catastrófica ocurre cuando una operación aritmética amplifica significativamente los errores de cancelación, lo que puede llevar a resultados completamente incorrectos.
  • Error de propagacion

    Error de propagacion

    El error de propagación se refiere a la forma en que los errores de representación se propagan a través de las operaciones matemáticas, pudiendo afectar los resultados finales de manera acumulativa.
  • Error de truncamiento en series

    Error de truncamiento en series

    Las series matemáticas que requieren truncamiento, como la serie de Taylor, pueden presentar errores significativos debido a la aproximación de los términos truncados.
  • Error de cálculo numérico en problemas de optimización

    Error de cálculo numérico en problemas de optimización

    Los algoritmos de optimización numérica pueden generar errores debido a las aproximaciones y simplificaciones utilizadas en el proceso de cálculo.
  • Error de representación en cálculos estadísticos

    Error de representación en cálculos estadísticos

    Los cálculos estadísticos, como el cálculo de promedios o desviaciones estándar, pueden verse afectados por errores de representación numérica debido a la cantidad de datos involucrados.
  • Error de cancelación en algoritmos iterativos

    Error de cancelación en algoritmos iterativos

    Los algoritmos iterativos que involucran restas sucesivas pueden experimentar errores de cancelación, lo que afecta la convergencia y la precisión de los resultados.
  • Error de division por cero

    Error de division por cero

    La división por cero es una operación indefinida en matemáticas, pero en la programación computacional puede generar errores o resultados incorrectos debido a la representación numérica.
  • Error de representación en cálculos financieros

    Error de representación en cálculos financieros

    Los cálculos financieros, como el cálculo de intereses o valores presentes netos, pueden verse afectados por errores de representación debido a la precisión requerida en este campo.
  • Error de representación en sistemas de inteligencia artificial

    Error de representación en sistemas de inteligencia artificial

    Los sistemas de inteligencia artificial, que realizan cálculos y procesamiento numérico a gran escala, pueden experimentar errores de representación debido a la complejidad de los algoritmos utilizados.
  • Error de representación en sistemas de simulación

    Error de representación en sistemas de simulación

    Los sistemas de simulación que modelan fenómenos físicos o naturales pueden presentar errores de representación numérica, lo que afecta la precisión y confiabilidad de los resultados simulados.
  • Investigación y desarrollo en métodos de mitigación de errores

    Investigación y desarrollo en métodos de mitigación de errores

    Actualmente, se siguen desarrollando y perfeccionando métodos y algoritmos para mitigar los errores de representación numérica, buscando mejorar la precisión y confiabilidad de los cálculos en diferentes campos de aplicación.

Want to make a timeline like this?

Use Timetoast to turn dates, events, milestones, and phases into a clear visual timeline you can build and share. Timetoast is a timeline maker for work, school, research, and stories.