Atom

Atomic Timeline

  • B.C.  Aristotle
    330

    B.C. Aristotle

    Instead of atoms, Aristotle beleived that all matter was made up of four elements: fire, water, air, and earth.
  • B.C.     Democritus
    460

    B.C. Democritus

    He theorized that matter was made up of tiny, indivisible particles. To test this, he broke a seashell into tiny peices until it could be broken no more. He called these particles "atoms" because they were indivisible.
  • Lavoisier

    Lavoisier

    He came up with the Law of Conservation that states that matter cannot be made or destroyed. He said that matter could be rearranged, but never dissapear. He was known for his experiment in which he converts HgO in Hg+O.
  • Berzelius

    Berzelius

    He introduced a system of chemical systems that used one or two letters abbriviating their latin name. He then created a table of Atomic weights, included that of 43 elements in 1826.
  • Avogadro

    Avogadro

    He clarified the confusion between the difference of a molecule and an atom. He also defined mass and differientiated it from weight. He hypothesized that diferent gases of an equal volume has equal number of molecules.
  • Dalton

    Dalton

    Dalton came up with the Atomic Theory that states 4 thing:
    1) All matter is made of atoms. Atoms are indivisible and indestructable.
    2) All atoms of a given element identical in mass and properties.
    3) Compounds are formed by a combination of two or more different kinds of atoms.
    4) A chemical reaction is a rearrangment of atoms.
  • Mendeleev

    Mendeleev

    He published his periodic table that arranged the 93 known elements into a system based on their atomic masses. He also grouped them by similar properties, and predicted many new elements and correcting mistaken atomic masses based on his table.
  • Becquerel

    Becquerel

    He created an experiment that proved that some chemical, when composed, let off pentrating rays. He found this out while studying the effect of X-rays on film.
  • Planck

    Planck

    He created constant variable H to be used in equations to describe the bahavior of waves and particles at the atomic scale. H represents erg-seconds, which is the amount of energy needed to move a milligram of mass one centimeeter. His variable was used by Bohr to create a more accurate model of the atom.
  • M. Curie

    M. Curie

    She discovered and tested radioactivity electron based on the discoveries of two scientists recent discoveries; Becquerel and Roentgen. She used an instrument created by Pierre, a professor of physics, and his older brother, Jacques which was a new type of electrometer. She used this to test the effects of uranium and the rays it gives off.
  • Thomson

    Thomson

    He suggested a model of the Atom in which the electrons are suspended in a charged substance. His model became known as the "plum-pudding model" because plum pudding is used to represent the area that the electrons are suspended in.
  • Rutherford

    Rutherford

    Rutherford tested Thomson's Plum-pudding model and created his own in which a positively charged core, the nucleaus is surrounded by a negativley charged substance, the Nuclear Model.
  • Bohr

    Bohr

    He improved upon Rutherford's model of the atom, finding a problem with the electrons and the movement of them. He proposed a model in which the electrons were confined to a limited area around the nucleas, thus making them more stable than previoulsy thought.
  • Moseley

    Moseley

    He studied under Rutherford to develope the application of the X-ray to study atomic structure. He used his discoveries to re-construct the periodic table more accuratley. He is the reason the periodic table is organized by atomic number.
  • Milikan

    Milikan

    By using his oil-drop apparatus, Millikan successfully measured the charge of the electron in water droplets. He used X-rays and gravity in his experiments, along with a positivley charged plate. The droplets that caught X-rays gained electrons and fell more slowly or rose towards the plate.
  • Chadwick

    Chadwick

    While studying radioactivity, Chadwick discovered the positivley charged particle within the ncleus, the proton. At this time, he and many other scientists thought that the proton wasn't the only particle in the nucleus, but they did not know what the other particle was yet.
  • Heisenberg

    Heisenberg

    He created a theory that showed that the position and velocity of the elcentron cannot be represented by regular numbers, but instead, by matrices, complex mathematical structures. He also created the principle of uncertainty, which shows errors in the equation involving H that are unnnoticible on the human scale, but should be taken into account when studying atoms.
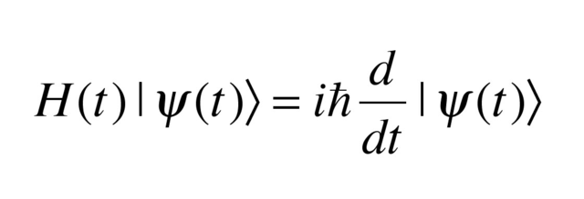
  • Schrodinger

    Schrodinger

    He used the Bohr model to create a mathematical equation that describes the likelyhood of finding an electron in a certain location. This atomic model is known as the Quantum Mechanical Model.
  • L. Meitner

    L. Meitner

    She was the first to discover the proccess of atomic fission, or the splitting of the nucleus into pairs of other atomic nuclei. She is hardly recognized for her work and wasn't paid to work. Through her and Hahn's procedure, they thought they had discovered nine new elements.

Want to make a timeline like this?

Use Timetoast to turn dates, events, milestones, and phases into a clear visual timeline you can build and share. Timetoast is a timeline maker for work, school, research, and stories.